近日,我校水土保持与荒漠化整治全国重点实验室简金世教授团队在水分胁迫条件下半干旱草原碳汇衰减机制研究方面取得新进展,在《Agricultural and Forest Meteorology》期刊上发表了题为“Contrasting temperature responses of photosynthesis and respiration amplify reduction in carbon sink under water stress conditions in a temperate semi-arid steppe”的研究论文。团队成员李鑫豪副教授为论文第一作者,北京林业大学刘鹏副教授为通讯作者。
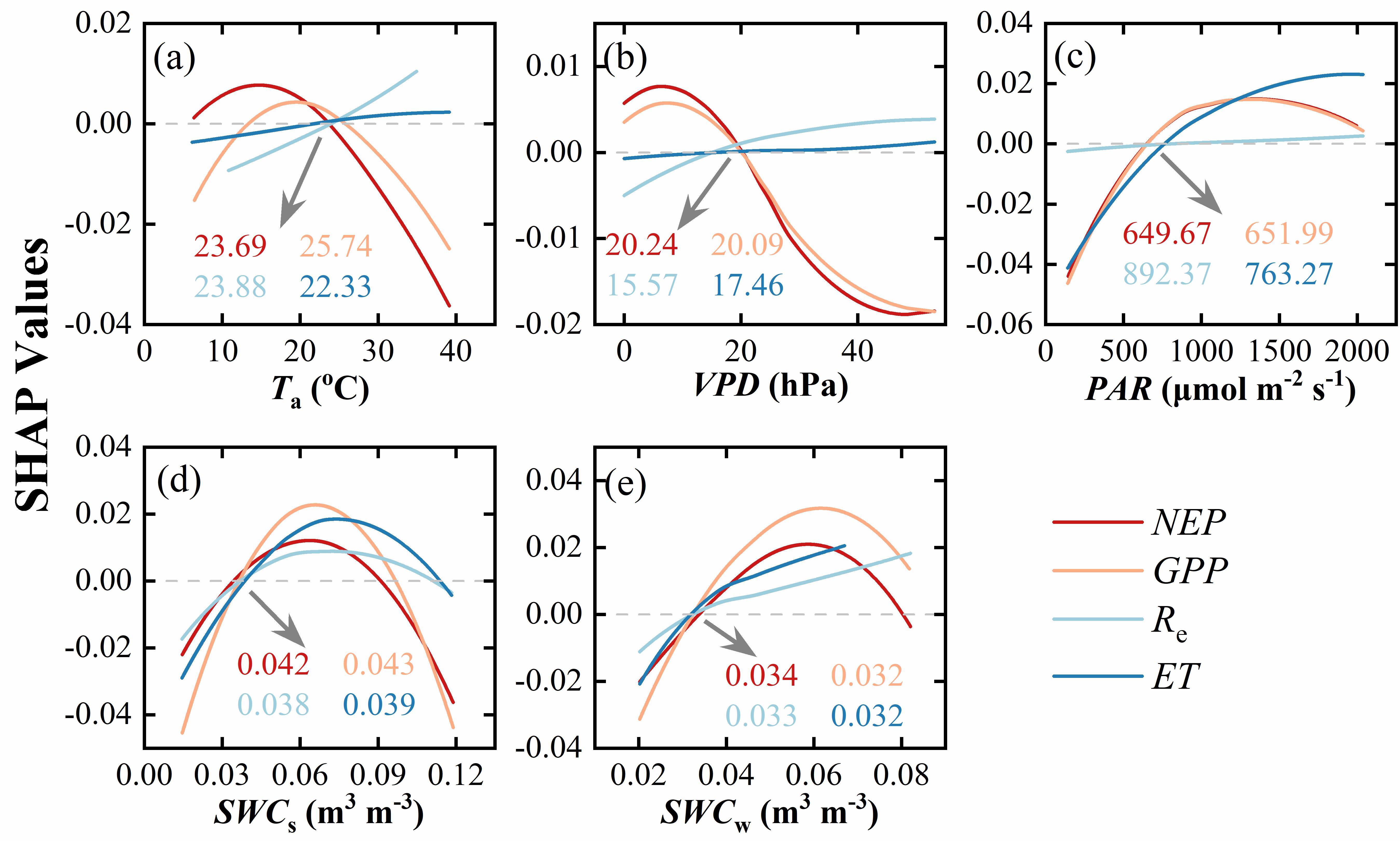
以毛乌素沙地典型草原生态系统为研究对象,结合连续十年的通量观测数据与气象水文资料,系统分析了在干旱、高温及干热复合三种水分胁迫条件下,生态系统碳通量(净生态系统生产力NEP、总初级生产力GPP、生态系统呼吸Re)和水通量(蒸散发ET)对环境因子的响应特征与调控机制。研究发现,三种水分胁迫条件下,浅层土壤含水量与全剖面土壤含水量是调控碳、水通量的最关键因子,其影响存在明显的阈值效应:低于阈值时,土壤水分抑制碳水通量;高于阈值时,则起促进作用。在水分胁迫期间,土壤水分含量普遍低于阈值,因此持续制约着生态系统的碳吸收与水分耗散。

图1 碳水通量对各个生物物理变量的Shapley加性解释(SHAP)依赖图
通过可解释性机器学习方法量化了不同水分胁迫条件下,各环境因素的贡献,发现在高温及干热复合胁迫下,温度升高不仅抑制了总初级生产力(GPP),而且还促进了生态系统呼吸(Re)。这种温度响应的差异进一步放大了土壤含水量对生态系统碳汇的削弱效应。

图2 不同水分胁迫条件下日间碳水通量对生物物理变量的响应图
该研究突破了传统统计方法的局限,深化了对水分胁迫事件频发引起的干旱半干旱区碳汇衰减的理解,并为应对气候变化、维护干旱区生态安全提供了科学基础。
该研究获得国家自然科学基金项目(32101588,32071842,32071843,31901366,42507469)、和中央高校基本科研业务费(Z1090125007和2452024401)和重点研发计划项目(2020YFA0608100)资助。
原文链接:https://doi.org/10.1016/j.agrformet.2025.110961.